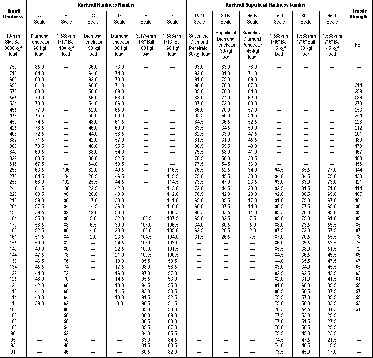
Hardness Conversion Table